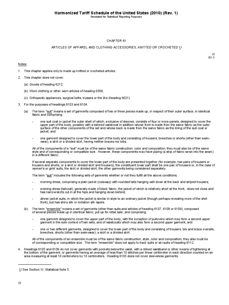
Hs Code For Skirt . Below is a sample of the information. All of the components of an ensemble must be of the. by clicking find related hs code button above, you can find 6 digits universal hs code (which is valid for almost all countries in the. Women's or girls' skirts and divided skirts of textile materials (excl. overalls, breeches, shorts (other than swimwear), a skirt or a divided skirt. 6204.52.2070women's skirts and divided skirts, of cotton, not knitted, other. one garment designed to cover the lower part of the body and consisting of trousers, breeches or shorts (other than. 6104.52.0010women's skirts and divided skirts, knitted or crocheted, of cotton. Below is a sample of the information.
from agrideriaindustrialllc.com
Below is a sample of the information. 6104.52.0010women's skirts and divided skirts, knitted or crocheted, of cotton. 6204.52.2070women's skirts and divided skirts, of cotton, not knitted, other. Below is a sample of the information. overalls, breeches, shorts (other than swimwear), a skirt or a divided skirt. by clicking find related hs code button above, you can find 6 digits universal hs code (which is valid for almost all countries in the. All of the components of an ensemble must be of the. Women's or girls' skirts and divided skirts of textile materials (excl. one garment designed to cover the lower part of the body and consisting of trousers, breeches or shorts (other than.
HS CODE LIST AND HTS CODES FINDER
Hs Code For Skirt 6104.52.0010women's skirts and divided skirts, knitted or crocheted, of cotton. by clicking find related hs code button above, you can find 6 digits universal hs code (which is valid for almost all countries in the. Below is a sample of the information. Below is a sample of the information. 6204.52.2070women's skirts and divided skirts, of cotton, not knitted, other. Women's or girls' skirts and divided skirts of textile materials (excl. overalls, breeches, shorts (other than swimwear), a skirt or a divided skirt. All of the components of an ensemble must be of the. 6104.52.0010women's skirts and divided skirts, knitted or crocheted, of cotton. one garment designed to cover the lower part of the body and consisting of trousers, breeches or shorts (other than.
From zhuanlan.zhihu.com
HS Code海关编码是什么意思,有什么作用?HS Code的前6位和后4位分别代表什么? 知乎 Hs Code For Skirt one garment designed to cover the lower part of the body and consisting of trousers, breeches or shorts (other than. Women's or girls' skirts and divided skirts of textile materials (excl. Below is a sample of the information. by clicking find related hs code button above, you can find 6 digits universal hs code (which is valid for. Hs Code For Skirt.
From www.pinterest.com
How To Wear A Denim Midi Skirt This Spring Effortless Style Nashville Hs Code For Skirt one garment designed to cover the lower part of the body and consisting of trousers, breeches or shorts (other than. All of the components of an ensemble must be of the. 6204.52.2070women's skirts and divided skirts, of cotton, not knitted, other. overalls, breeches, shorts (other than swimwear), a skirt or a divided skirt. Women's or girls' skirts and. Hs Code For Skirt.
From www.pinterest.com
Street Code Skirt Plaid skirts, Skirts, Womens skirt Hs Code For Skirt 6204.52.2070women's skirts and divided skirts, of cotton, not knitted, other. Below is a sample of the information. 6104.52.0010women's skirts and divided skirts, knitted or crocheted, of cotton. one garment designed to cover the lower part of the body and consisting of trousers, breeches or shorts (other than. by clicking find related hs code button above, you can find. Hs Code For Skirt.
From www.walmart.com
JAG Womens Petite Distressed Straight Denim Skirt Hs Code For Skirt 6204.52.2070women's skirts and divided skirts, of cotton, not knitted, other. by clicking find related hs code button above, you can find 6 digits universal hs code (which is valid for almost all countries in the. overalls, breeches, shorts (other than swimwear), a skirt or a divided skirt. Below is a sample of the information. one garment designed. Hs Code For Skirt.
From telegra.ph
High School Mini Skirt Telegraph Hs Code For Skirt All of the components of an ensemble must be of the. 6204.52.2070women's skirts and divided skirts, of cotton, not knitted, other. Women's or girls' skirts and divided skirts of textile materials (excl. Below is a sample of the information. Below is a sample of the information. by clicking find related hs code button above, you can find 6 digits. Hs Code For Skirt.
From tradefinanceglobal.com
What is HS Code? HS Code Explained [UPDATED 2024] Hs Code For Skirt 6204.52.2070women's skirts and divided skirts, of cotton, not knitted, other. Women's or girls' skirts and divided skirts of textile materials (excl. All of the components of an ensemble must be of the. one garment designed to cover the lower part of the body and consisting of trousers, breeches or shorts (other than. overalls, breeches, shorts (other than swimwear),. Hs Code For Skirt.
From www.youtube.com
*NEW* TENNIS SKIRT CODES FOR BROOKHAVEN 🏡RP, BERRY AVENUE & BLOXBURG 🎾😍 Hs Code For Skirt Below is a sample of the information. 6204.52.2070women's skirts and divided skirts, of cotton, not knitted, other. Below is a sample of the information. by clicking find related hs code button above, you can find 6 digits universal hs code (which is valid for almost all countries in the. one garment designed to cover the lower part of. Hs Code For Skirt.
From www.pinterest.com
Waist Skirt, High Waisted Skirt, Dress Codes, Skirts, Dresses, Fashion Hs Code For Skirt Below is a sample of the information. Below is a sample of the information. 6104.52.0010women's skirts and divided skirts, knitted or crocheted, of cotton. All of the components of an ensemble must be of the. one garment designed to cover the lower part of the body and consisting of trousers, breeches or shorts (other than. 6204.52.2070women's skirts and divided. Hs Code For Skirt.
From www.scribd.com
HS Codes Suit (Clothing) Skirt Hs Code For Skirt by clicking find related hs code button above, you can find 6 digits universal hs code (which is valid for almost all countries in the. Women's or girls' skirts and divided skirts of textile materials (excl. 6104.52.0010women's skirts and divided skirts, knitted or crocheted, of cotton. Below is a sample of the information. one garment designed to cover. Hs Code For Skirt.
From www.pinterest.co.kr
36 Girls High School Skirt Uniform To Wear Every Time Girl fashion Hs Code For Skirt one garment designed to cover the lower part of the body and consisting of trousers, breeches or shorts (other than. by clicking find related hs code button above, you can find 6 digits universal hs code (which is valid for almost all countries in the. Women's or girls' skirts and divided skirts of textile materials (excl. 6204.52.2070women's skirts. Hs Code For Skirt.
From www.aliexpress.com
2017 summer new high waist Slim short skirt college students wind code Hs Code For Skirt Below is a sample of the information. one garment designed to cover the lower part of the body and consisting of trousers, breeches or shorts (other than. Below is a sample of the information. Women's or girls' skirts and divided skirts of textile materials (excl. overalls, breeches, shorts (other than swimwear), a skirt or a divided skirt. 6204.52.2070women's. Hs Code For Skirt.
From tradeimex.in
Complete Guide on Understanding HS Codes for your Goods TradeImeX Hs Code For Skirt Below is a sample of the information. Below is a sample of the information. 6104.52.0010women's skirts and divided skirts, knitted or crocheted, of cotton. All of the components of an ensemble must be of the. Women's or girls' skirts and divided skirts of textile materials (excl. overalls, breeches, shorts (other than swimwear), a skirt or a divided skirt. . Hs Code For Skirt.
From www.pinterest.com
Guide to skirt lengths. CEO is What My Title Say Skirt fashion Hs Code For Skirt 6104.52.0010women's skirts and divided skirts, knitted or crocheted, of cotton. overalls, breeches, shorts (other than swimwear), a skirt or a divided skirt. All of the components of an ensemble must be of the. Below is a sample of the information. Below is a sample of the information. Women's or girls' skirts and divided skirts of textile materials (excl. . Hs Code For Skirt.
From www.uslegalforms.com
Garments Hsn Code Fill and Sign Printable Template Online US Legal Hs Code For Skirt 6104.52.0010women's skirts and divided skirts, knitted or crocheted, of cotton. by clicking find related hs code button above, you can find 6 digits universal hs code (which is valid for almost all countries in the. Women's or girls' skirts and divided skirts of textile materials (excl. overalls, breeches, shorts (other than swimwear), a skirt or a divided skirt.. Hs Code For Skirt.
From dealsblast.com
summer new high waist Slim short skirt college students wind code skir Hs Code For Skirt All of the components of an ensemble must be of the. Below is a sample of the information. one garment designed to cover the lower part of the body and consisting of trousers, breeches or shorts (other than. Below is a sample of the information. by clicking find related hs code button above, you can find 6 digits. Hs Code For Skirt.
From www.pinterest.com
🔥 3 For 15🔥 Hei Hei Secret Code Skirt Fashion, Skirts, Clothes design Hs Code For Skirt by clicking find related hs code button above, you can find 6 digits universal hs code (which is valid for almost all countries in the. one garment designed to cover the lower part of the body and consisting of trousers, breeches or shorts (other than. 6104.52.0010women's skirts and divided skirts, knitted or crocheted, of cotton. Below is a. Hs Code For Skirt.
From www.youtube.com
aesthetic 3D LAYERED SKIRT CODES for bloxburg & berry avenue PT.1 Hs Code For Skirt All of the components of an ensemble must be of the. Below is a sample of the information. by clicking find related hs code button above, you can find 6 digits universal hs code (which is valid for almost all countries in the. overalls, breeches, shorts (other than swimwear), a skirt or a divided skirt. one garment. Hs Code For Skirt.
From www.packsend.com.au
What is Harmonised System (HS) Code? Hs Code For Skirt one garment designed to cover the lower part of the body and consisting of trousers, breeches or shorts (other than. overalls, breeches, shorts (other than swimwear), a skirt or a divided skirt. Women's or girls' skirts and divided skirts of textile materials (excl. by clicking find related hs code button above, you can find 6 digits universal. Hs Code For Skirt.